lunes, 7 de mayo de 2012

5.2 Método de Gauss - Jordán

BREVE INTRODUCCIÓN

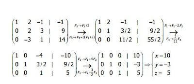
son algoritmos del álgebra lineal para determinar las soluciones de un sistema de ecuaciones lineales, encontrar matrices e inversas. Un sistema de ecuaciones se resuelve por el método de Gauss cuando se obtienen sus soluciones mediante la reducción del sistema dado a otro equivalente en el que cada ecuación tiene una incógnita menos que la anterior. Cuando se aplica este proceso, la matriz resultante se conoce como: "forma escalonada". Procedamos a explicar objetivamente. 

resolver los siguientes sistemas de ecuaciones lineales








No hay comentarios:

Publicar un comentario